TØ 23 – Eksamensopgaver
Dette er eksamensættet fra BMSF 2024 eksamen (januar 2025).
1 Opgave 1
Odorantreceptoren tilhører klassen af G-koblede receptorer.
1.1 Spørgsmål 1
Foretag en sammenligning mellem signalkaskaden induceret af epinephrine (adrenalin) via β-adrenergic receptor og kaskaden induceret af odoranter. På hvilke måder ligner de to signalveje hinanden, og hvor adskiller de sig?
1.2 Spørgsmål 2
Hvert sanseneuron i næsen udtrykker kun én specifik odorantreceptor mens neuronerne i munden udtrykker mange forskellige bitterreceptorer.
Forklar hvordan det for mennesker er muligt at genkende millioner af duftstoffer med kun ca. 400 forskellige odorantreceptorer men har svært ved at skelne forskellige bitterstoffer.
1.3 Spørgsmål 3.
Strukturen af en human odorantreceptor (OR51E2) i kompleks med propionat er blevet bestemt med cryo-EM.
Hent strukturen af OR51E2 i PyMOL (PDB 8F76) og skriv et script, der viser receptoren med propionat og det ekstracellulære miljø opad. Odorant-molekylet skal vises med spheres og atomfarver (C=sort, O=rød) og strukturen af protein i cartoon med forskellige farver for hver kæde. Kæde N er et antistof, der er brug til at stabilisere komplekset og denne skal ikke med i figuren. Dit svar skal indeholde script og strukturfigur på hvid baggrund og propionat skal kunne ses. Forklar kort hvilke proteiner kæderne A, X, Y og Z repræsenterer.
1.4 Spørgsmål 4
Figuren nedenfor viser et såkaldt heat map over hvilke aminosyrerester i receptoren, der interagerer med hvilke atomer i odoranten (propionate) i et simuleringsforsøg.
Brug strukturen til at forklare observationerne for R262 og H180 med speciel fokus på Oα-, Oβ- og Cα-atomernes interaktioner. Beskriv hvilken type af bindinger, de to aminosyrerester indgår i og hermed hvordan odoranten genkendes.
2 Opgave 2
Convertase Subtilsin/Kexin type 3, PCSK3, også kaldet furin er en protease, der aktiverer andre proteiner ved at kløve et propeptid af. Furin er membranbundet og udtrykkes selv som en pro-form, der aktiveres ved proteolyse. Furin er fuldt aktivt i tilstedeværelse af EDTA, men en mutation i aktivt site, D153N, inaktiverer furin.
2.1 Spørgsmål 1
Foreslå et eksperiment, der sammen med ovenstående information kan fastslå hvilken type protease, furin tilhører.
2.2 Spørgsmål 2
Nedenfor er vist et udsnit af sekvensen for pro-furin. For at bestemme kløvningsstedet blev tyrosiner i modent furin iodineret med radioaktivt iod (125I), hvorefter der blev foretaget Edman-degradering. I hvert trin blev radioaktiviteten for den frigivne aminosyremålt som vist i figuren nedenfor.

30 40 50
**pro-furin** 27 -- QKVF TNTWAVRIPG GPAVANSVAR
60 70 80
KHGFLNLGQI FGD**YY**HFWHR GVTKRSLSPH
90 100 110 120
RPRHSRLQRE PQVQWLEQQV AKRRTKRDV**Y** QEPTDPKFPQ
Bestem ud fra de givne oplysninger kløvningsstedet og dermed N-terminalen af det modne furin.
2.3 Spørgsmål 3
Beskriv de biokemiske egenskaber ved S1-, S2-, S3- og S4-lommerne i furin.
Tabellen nedenfor angiver nogle af de proteiner, furin kløver, hvor| angiver kløvningsstedet i pro-proteinet:
| Protein | Kløvningssted |
|---|---|
| pro-factor IX | LNRPKR | YNSG |
| pro-NGF | THRSKR | SSSH |
| pro-SorCS1 | SGRRRR | SGAD |
| pro-insulin receptor | PSRKRR | SLGD |
2.4 Spørgsmål 4
Molmassen af pro-furin er 97 kDa mens det modne furin har en masse på 90 kDa. En trunkeret (forkortet) form uden de transmembrane og cytosoliske domæner er fuldt aktiv som protease og har i proformen massen 86 kDa mens den modne form er 79 kDa.
For at fastslå hvordan aktiveringen af furin foregår, blandede man trunkeret furin med fuldlængde furin enten vildtype (bane 2) eller med mutationer R107G (bane 3), R104A (bane 4) samt aktiv site-mutanten D153N (bane 5). På SDS-PAGE gelen vises resultaterne af disse forsøg samt trunkeret furin alene (bane 1).

Fastslå først om furin er i stand til at kløve sin egen pro-form og forklar hvordan du ser det. Foregår kløvningen som en intermolekylær (mellem molekyler) eller intramolekylær (selv-kløvning) proces? Forklar dit svar.
3 Opgave 3
Et forskerhold vil undersøge hvilke proteiner der associeres til membranen af røde blodceller. Som det første trin i deres analyse isolerer de blodcellemembranen og tilsætter natriumpalmitat.
3.1 Spørgsmål 1
Hvad kunne være formålet med at tilsætte natriumpalmitat, og hvad gør dette molekyle ved proteinerne i membranen?
3.2 Spørgsmål 2
Proteinet EPC1 forventes ikke at være et membranprotein, men bliver alligevel fundet i prøven fra blodcellemembranerne via massespektrometri. Det C-terminale peptid af EPC1 har en masse, der er større end forventet fra proteinsekvensen.
Kom med en sandsynlig forklaring på den afvigende masse samt forklar hvorfor EPC1 findes i membranen.
3.3 Spørgsmål 3
Proteinet EPC2 findes også i membranprøven. EPC2 har en enkelt transmembran helix og via massespektrometri findes der desuden en glykosylering på den første asparagin (aminosyrerest 4).
Forklar hvordan EPC2 er orienteret i membranen, herunder på hvilken side eller sider, N-terminal og C-terminal af proteinet må befinde sig.
Proteinet EPC3 findes ligeledes i blodcellemembranen og forskerne er interesseret i at måle mobiliteten af EPC3.
3.4 Spørgsmål 4
Forslå en metode som kan måle hvor hurtigt EPC3 bevæger sig i membranen.
4 Opgave 4
I vinterhalvåret er det en god idé at tage vitamin D, da der ikke er nok sollys til at det kan dannes naturligt i vores hudceller. Efter indtagelse, omdannes vitamin D til et hormon, der binder til vitamin D-receptoren (VDR), som er med til at kontrollere syntesen af forskellige proteiner, der regulerer calcium- og fosfatniveauerne i vores krop. VDR består af to domæner, et domæne, der binder hormonet samt et domæne, der binder til DNA. Den aktive form findes i kompleks med et andet protein, 9-cis retinsyrereceptor (RXR), og sammen binder de to proteiner sig til DNA, som vist på figuren nedenfor.

4.1 Spørgsmål 1
Find de to ens bindingsområder i DNA-sekvensen, hvortil heterodimeren binder. Hvilken type sekvensmotiv er der tale om?
4.2 Spørgsmål 2
Åben strukturen med PDB 1YNW i PyMOL og undersøg de DNA-bindende domæner på VDR og RXR.
Hvilken type strukturmotiv indeholder de to DNA-bindende domæner og hvilken groove af DNA binder de til?
4.3 Spørgsmål 3
Hvad er afstanden mellem de to α-helicer i proteinerne, der genkender DNA, og hvad ville afstanden typisk være hvis der var tale om en symmetrisk binding ved en homodimer?
4.4 Spørgsmål 4
Identificer 3 sekvensspecifikke interaktioner mellem genkendelseshelicen og DNA dobbelthelix for et af de to DNA-bindende domæner. Angiv i hvert tilfælde de to involverede aminosyre- og nukleotidrester på henholdsvis protein og DNA.
5 Opgave 5
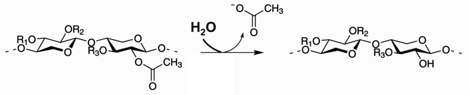
Xylan er et polysaccharid, der hovedsageligt består af xylose-enheder, der ofte er substitueret i flere positioner. Enzymet Acetyl Xylan Esterase (AXE) fraspalter acetylgruppen bundet i 2-positionen, så der frigives en acetation. Nedenfor ses reaktionen katalyseret af AXE.
5.1 Spørgsmål 1.
Angiv konformation og kobling for glycosidbindingen mellem de to xylose-enheder i xylan som vist ovenfor.

